Multivariate analysis of the parameters of the immune response after immunization with inactivated influenza vaccines
- Authors: Vasiliev K.A.1, Shurygina A.S.1, Sergeeva M.V.1, Romanovskaya-Romanko E.A.1, Krivitskaya V.Z.1, Amosova I.V.1, Varyushina E.A.1, Buzitskaya Z.V.1, Stukova M.A.1, Lioznov D.A.1
-
Affiliations:
- Federal State Budgetary Institution «Research Institute of Influenza A.A. Smorodintsev» of the Ministry of Health of Russia
- Issue: Vol 19, No 1-4 (2022)
- Pages: 13-20
- Section: Articles
- URL: https://cijournal.ru/1684-7849/article/view/623088
- DOI: https://doi.org/10.17816/CI2022221-4-3
- ID: 623088
Cite item
Full Text
Abstract
Influenza A and B viruses are widely spread respiratory pathogens of humans and cause both isolated cases and local outbreaks of the disease, as well as massive seasonal epidemics and pandemics. Vaccination is the main strategy for combating influenza, and an increase in the proportion of vaccinated people in the population determines the success of vaccination. To identify patterns of postvaccination immune response formation to different types of vaccines and assess the significance of its multiple parameters the appropriate statistical methods should by applied. These methods allow to operate with large datasets and reduce their dimension, while keeping the maximum of information about the differences between individual observations. The aim of our study was the analysis of parameters of humoral and cellular immunity and their dynamics after vaccination with different types of inactivated influenza vaccines (IIV) using statistical methods of complex data analysis. The study was conducted in the clinical department of the Smorodintsev Research Institute of Influenza, Ministry of Health of the Russian Federation, in the flu season 2018 – 2019. The multivariate analysis of the immune response parameters after immunization with IIV “Grippol plus”, “Sovigripp” “Ultrix” included data obtained for 39 volunteers before vaccination, on the 7th and 21st days after vaccination. To identify parameters with significant differences between groups, one-factor analysis of variance (ANOVA) was used separately for each parameter and time point. To visualize the differences in the parameters selected in the analysis of variance, the Principal component analysis (PCA) method was used. The conducted studies revealed the peculiarities of the formation of a post-vaccination immune response to various types of IIV. It was shown that the factors of antigen-specific CD4+ and CD8+ T-cell immune response introduced the major contribution to the formation of the differences between groups. The approach is a powerful tool in analyzing the parameters of the immune response in clinical trials of influenza vaccines and other preventive medicine.
Full Text
Введение
Вирусы гриппа А и В являются опасными респираторными патогенами человека и вызывают как единичные случаи и локальные вспышки заболевания, так и массовые сезонные эпидемии и пандемии. Вакцинация является основной стратегией борьбы с гриппом, а увеличение доли вакцинированных в популяции определяет успех вакцинопрофилактики [15]. По существующим оценкам, заболевание поражает одного из пяти непривитых детей и одного из десяти непривитых взрослых [13]. Кроме того, высокую актуальность сохраняет всестороннее исследование и совершенствование гриппозных вакцин [15]. Одним из подходов к совершенствованию вакцин против гриппа является включение в их состав адъювантов, усиливающих интенсивность и длительность иммунного ответа [1].
Используемые в России вакцины «Гриппол плюс», «Совигрипп» и «Ультрикс» относятся к трехвалентным инактивированным гриппозным вакцинам. Из них к адъювантным вакцинам относятся «Гриппол плюс» (адъювант «Полиоксидоний») и «Совигрипп» (адъювант «Совидон»). Вакцина «Ультрикс» является расщепленной (сплит) вакциной последнего поколения. Все три вакцины обладают хорошей переносимостью, безопасны и являются достаточно иммуногенными, согласно результатам ранее проведенных исследований [1-3].
Комплексный анализ множественных показателей гуморального, Т- и В-клеточного ответа после иммунизации противогриппозными вакцинами крайне важен для оценки поствакцинального иммунитета [4, 7, 8, 10-12]. При этом статистические методики, в том числе метод главных компонент (Principal component analysis, PCA), являются полезными инструментами для выявления закономерностей взаимодействия множественных факторов иммунного ответа. В настоящее время PCA широко используется в медицинских исследованиях и позволяет снизить размерность наборов данных, сохранив максимальное количество информации о различиях между отдельными наблюдениями [6].
Целью нашего исследования являлся анализ 64 показателей гуморального и клеточного иммунитета и их динамики после вакцинации разными типами ИГВ («Гриппол плюс», «Совигрипп» и «Ультрикс») с применением статистических методов комплексного анализа данных.
Материалы и методы
Наблюдательное проспективное исследование проведено на базе клинического отделения ФГБУ «НИИ гриппа им. А.А. Смородинцева» Минздрава России в эпидемический период 2018-2019 гг. Со всеми участниками было подписано письменное информированное согласие. В исследование включали добровольцев в возрасте от 18 лет и старше, привитых одной из ИГВ. Вакцины вводились в/м в дозе 0,5 мл однократно. «Гриппол плюс» – субъединичная вакцина, содержит по 5 мкг гемагглютинина (ГА) каждого из трех эпидемических штаммов вирусов гриппа типов А/H1N1pdm09, А/H3N2, B/Victoria и 500 мкг иммуноадъюванта Полиоксидоний® (ООО «НПО Петровакс Фарм»). «Совигрипп» – субъединичная вакцина, содержит по 5 мкг ГА двух эпидемических штаммов вирусов гриппа типов А/H1N1pdm09, А/H3N2, 11 мкг – B/Victoria и 500 мкг адъюванта «Совидон» (АО «НПО «Микроген»). Вакцина «Ультрикс», расщепленная (сплит-вакцина) содержит по 15 мкг ГА каждого из трех эпидемических штаммов вирусов гриппа типов А/H1N1pdm09, А/H3N2 и B/Victoria (ООО «Форт»). Образцы венозной крови участников были получены до вакцинации (день 0), на 7-е и 21-е сутки после вакцинации.
В комплексный анализ поствакцинального иммунного ответа были включены данные по 64 параметрам гуморального, Т- и В-клеточного иммунного ответа. При статистической обработке с целью нормализации данных был рассчитан Log2 кратности отношения каждого из исходных 64 параметров на 7-й и 21-й дни после вакцинации к исходным значениям (день 0) (FC, fold change):
Для исключения случаев деления на «0» (при отсутствии иммунного ответа на 0-й день) к каждому значению было прибавлено минимальное ненулевое значение по соответствующей группе наблюдений. Средние значения Log2FC по каждой группе наблюдений были сравнены с «0» при помощи одновыборочного t-теста Стьюдента. Для выявления параметров иммунного ответа, по которым были обнаружены наибольшие различия у лиц, привитых разными ИГВ, группы были сравнены при помощи однофакторного дисперсионного анализа (ANOVA). Для сравнения использовали Log2 кратности изменений по каждому из показателей иммунного ответа на 7-й и 21-й дни после вакцинации. Данные участников исследования, у которых по какой-либо причине отсутствовали показания хотя бы по одному из выбранных в дисперсионном анализе параметров, были исключены из анализа.
Для визуализации различий между группами был использован метод PCA. Для анализа использовали значения Log2 кратности изменений (Log2FC) параметров иммунного ответа, по которым между группами наблюдали достоверные различия (p <005) в дисперсионном анализе (21 параметр). Координатные плоскости представляют собой двумерную аппроксимацию исходного 21-мерного набора данных. Координаты PC1 и PC2 подобраны таким образом, чтобы максимизировать среднеквадратичные расстояния между отдельными наблюдениями. Близкое расположение точек друг к другу указывает на наличие сходных значений, а удаленное – на различия Log2FC по каждому параметру иммунного ответа у соответствующих участников исследования. Путем сопоставления расположения точек и векторов определяют параметры с наиболее выраженными различиями между отдельными наблюдениями. Чем ближе друг к другу находятся проекции точек на некоторый вектор, тем более сходные значения Log2FC параметра иммунного ответа имеют данные участники исследования. Для оценки взаимосвязи соответствующих параметров учитываются длины векторов (факторные нагрузки на компоненты PC1 и PC2) и углы между ними. Острый угол между векторами свидетельствует о наличии положительной корреляции, а угол, близкий к 180º – об отрицательной корреляции между Log2FC соответствующих параметров иммунного ответа. Если угол между двумя векторами близок к 90º, то между соответствующими переменными нет выраженной корреляции. Длины векторов определяют вклад соответствующих параметров иммунного ответа в обеспечение различий между исследуемыми группами.
Статистический анализ данных был проведен с использованием программ STATISTICA Version 8.0 (StatSoft Inc., Tulsa, OK, USA), RStudio Desktop 1.0.153 (RStudio Inc., USA).
Результаты и обсуждение
Характеристика групп добровольцев приведена в табл. 1. Сформированные группы были сопоставимы по количеству участников и возрасту.
Таблица 1
Характеристика групп добровольцев, привитых трехвалентными инактивированными гриппозными вакцинами
Группы ИГВ | Количество в группе, чел. | Распределение по полу, чел. (%) | Возраст, лет M ± SD | |
Мужчины | Женщины | |||
«Гриппол плюс» | 14 | 4 (28,6%) | 10 (71,4%) | 43,0 ± 11,9 |
«Совигрипп» | 15 | 7 (46,7%) | 8 (53,3%) | 46,0 ± 14,4 |
«Ультрикс» | 10 | 2 (20,0%) | 8 (80,0%) | 51,0 ± 17,5 |
Всего | 39 | 13 (33,3%) | 26 (66,7%) | 46,0 ± 14,3 |
В комплексный анализ поствакцинального иммунного ответа были включены 64 параметра. Из них 46 параметров отражали изменения антиген-специфичного (А/H1N1pdm09, А/H3N2 и B/Victoria) Т-клеточного иммунного ответа (относительный состав популяций CD4+ и CD8+ Т-лимфоцитов, продуцирующих цитокины IFN-γ, IL-2 и TNF-α в различных сочетаниях, молекулы CD107a и Gransyme B). 12 параметров характеризовали изменения гуморального иммунного ответа (титр антител к вирусам гриппа А/H1N1pdm09, А/H3N2, B/Victoria и B/Yamagata в РТГА и РМН, а также авидность антител). 6 параметров отражали неспецифические изменения субпопуляционного состава B-лимфоцитов на 7-й и 21-й дни после вакцинации.
Гуморальный иммунный ответ (титр антител к вирусам гриппа А/H1N1pdm09, А/H3N2, B/Victoria и B/Yamagata) оценивали в стандартных серологических реакциях торможения гемагглютинации (РТГА) и микронейтрализации (РМН) [10]. Измерение авидности антител в ИФА проводили к трем компонентам вакцин, а также дополнительно к вирусу гриппа В генетической линии Yamagata, не входившему в состав вакцин.
В дополнение к серологическим параметрам существенный вклад по защитной эффективности вакцин вносит анализ клеточных коррелятов протекции [4, 5]. Адекватным методом изучения функциональной гетерогенности Т-клеточного ответа является проточная цитометрия, поскольку она предоставляет информацию как о фенотипе, так и о продукции цитокинов Т-клетками. Известно, что инфекция, вызванная вирусом гриппа, вызывает CD4+ Т-клеточный ответ, при этом происходит смещение в сторону Th1-ответа. CD4+ Т-клетки продуцируют различные цитокины, которые регулируют функции В-клеток и CD8+ Т-клеток. CD8+ Т-клетки или цитотоксические Т-лимфоциты (CTL) способствуют элиминации вируса путем прямого лизиса инфицированных клеток с помощью перфорина и гранзимов или экспрессии лигандов фактора некроза опухоли (TNF). Показана важность Т-клеток памяти в защите от повторного заражения сезонным гриппом [10, 12]. Работа Paterson et al. демонстрирует, что количество специфичных для гриппа CD8+ Т-клеток памяти в циркуляции обратно коррелируют с вирусной нагрузкой [12]. Полифункциональные Т-лимфоциты являются одним из ключевых компонентов поствакцинального Т-клеточного ответа. Функции этих клеток включают дегрануляцию цитотоксических белков и одновременно продукцию различных цитокинов. Функционально они превосходят клетки, продуцирующие один цитокин, и играют важную роль в контроле гриппозной инфекции [7]. CD107a был описан как маркер дегрануляции CD8+ Т-клеток после стимуляции, а также как маркер функциональной активности NK-клеток. Анализ продукции Gransyme B используется для количественной оценки цитотоксического Т-клеточного ответа. По данным Salk et al., специфичные для гриппа реакции на Gransyme B усиливаются после вакцинации [13]. По данным ряда публикаций, после вакцинации гриппозными вакцинами наблюдаются изменения количественного состава субпопуляций В-лимфоцитов в периферической крови у человека [8].
Для выявления параметров иммунного ответа, по которым были выявлены наибольшие различия у лиц, привитых разными ИГВ, соответствующие группы были сравнены при помощи однофакторного дисперсионного анализа (ANOVA). Результаты анализа ANOVA показали, что статистически значимые различия между группами на 7-й и/или 21-й дни после вакцинации были определены по 21 параметру иммунного ответа. Эти параметры были выбраны для дальнейшего анализа методом РСА.
Два из них отражали изменения популяционного состава B-лимфоцитов (относительное количество В-лимфоцитов, относительное количество наивных В-лимфоцитов). Четыре параметра были связаны с гуморальным ответом (авидность антител к антигенам вируса А/H1N1pdm09, A/H3N2, B/Victoria и B/Yamagata). 15 параметров отражали изменения относительного состава антиген-специфичных (А/H1N1pdm09, A/H3N2, B/Victoria, B/Yamagata) CD4+ и CD8+ Т-лимфоцитов, продуцирующих цитокины IFN-γ, IL-2 и TNF-α, а также молекулы CD107a и Gransyme B в различных сочетаниях.
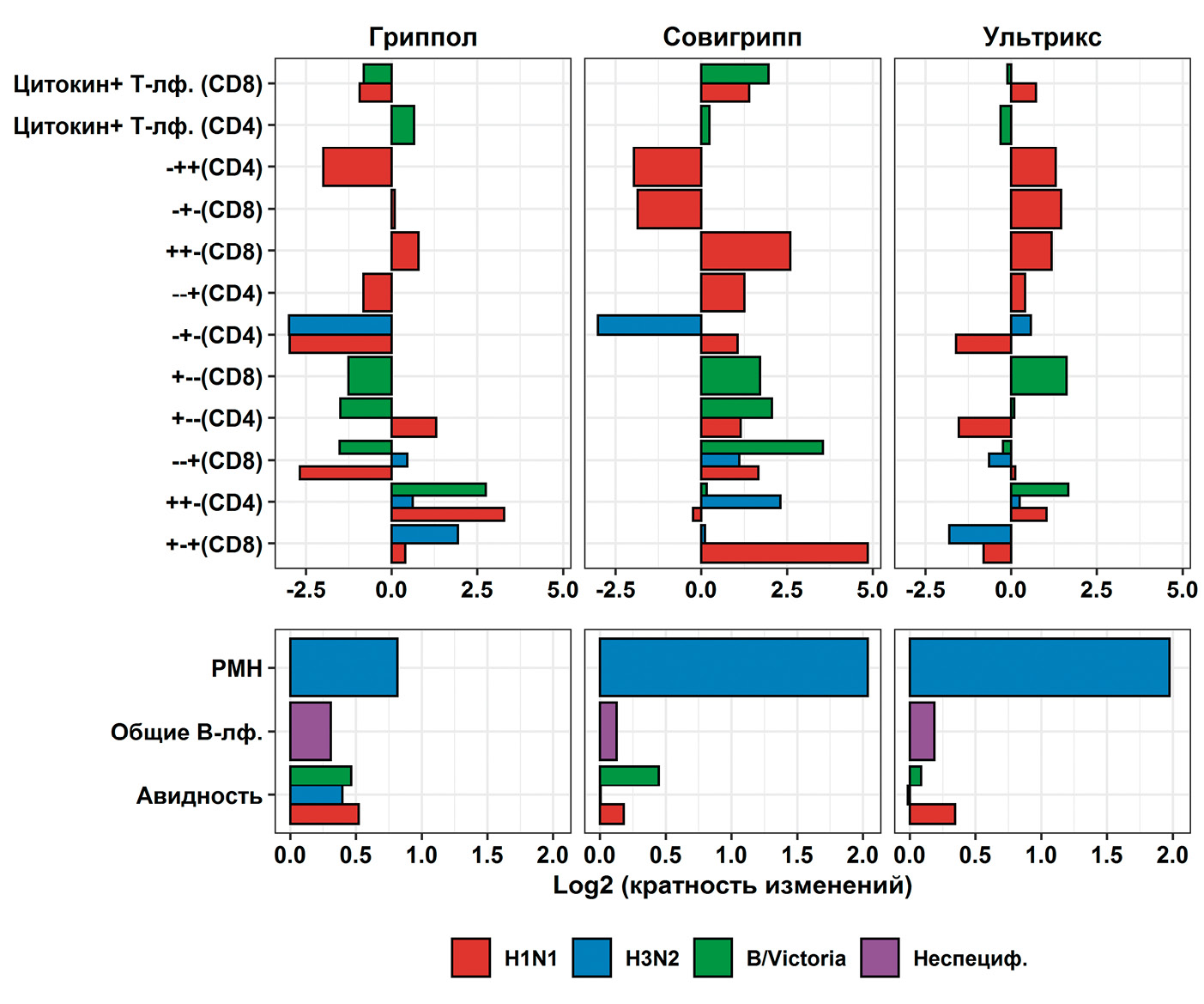
На рис. 1 представлены средние значения Log2FC параметров иммунного ответа со статистически значимыми различиями между группами на 7-й день после вакцинации. Как показано на рисунке 1, ряд параметров Т-клеточного иммунного ответа (относительное содержание H1N1- и H3N2-специфичных CD4+/CD8+ IFNγ-IL2+TNFα- и CD8+IFNγ+IL2+TNFα- Т-лимфоцитов) в группах вакцин «Совигрипп» и «Гриппол плюс» прирастали по сравнению с Д0 либо значительно не изменялись, в то время как в группе вакцины «Ультрикс» наблюдали снижение значений в 1,5-2 раза. В группе вакцины «Совигрипп», в отличие от групп «Гриппол плюс» и «Ультрикс», происходило снижение авидности антител к вирусам гриппа А/H1N1, А/H3N2 и B/Yamagata. Группы «Гриппол плюс» и «Ультрикс» характеризовались различными степенями прироста данных показателей.
Рис. 1. Средняя кратность изменений параметров иммунного ответа, по которым наблюдали наиболее выраженные различия между исследуемыми группами на 7-й день после вакцинации. Цвет столбцов обозначает специфичность параметра иммунного ответа к подтипу вируса гриппа А или B. Символами -++, -+-, +++ и т. д. обозначены популяции цитокин-продуцирующих CD4+ и CD8+ Т-лимфоцитов: IFNγ-IL2+TNFα+, IFNγ-IL2+TNFα-, IFNγ+IL2+TNFα- и т. д.)
При визуализации указанных выше различий между группами методом РСА на 7-й день выявляются четкие кластеры на графике главных компонент (PC) (рис. 2). При этом первая главная компонента (PC1) обуславливает преимущественно различия между группами вакцин «Гриппол плюс» и «Совигрипп», а также «Совигрипп» и «Ультрикс». Различия между группой вакцины «Ультрикс» и двумя другими группами обусловлены в основном второй главной компонентой (PC2). Можно выделить 5 кластеров параметров иммунного ответа с наиболее выраженными различиями между группами (рис. 2).
Рис. 2. Визуализация различий параметров иммунного ответа между группами при помощи метода главных компонент (PCA) на 7-й день после вакцинации. Применена «min-max» нормализация. Все данные расположены на шкале [-1;1] с сохранением исходных расстояний между точками. Цветными символами обозначены значения первых двух главных компонент у каждого участника исследования. Цвет точек обозначает принадлежность соответствующих наблюдений к группам вакцин «Совигрипп», «Гриппол плюс» или «Ультрикс». Текстом на графике обозначены названия изучаемых параметров иммунного ответа. Символа- ми -++, -+-, +++ и т. д. обозначены популяции цитокин-продуцирующих CD4+ и CD8+ Т-лимфоцитов: IFNγ- IL2+TNFα+, IFNγ-IL2+TNFα-, IFNγ+IL2+TNFα- и т. д. Цвет текста обозначает специфичность того или иного параметра иммунного ответа к вирусам гриппа подтипа A или B. Пунктирные линии вокруг вершин векторов ограничивают кластеры переменных, характеризующихся близкими значениями факторных нагрузок на две первые главные компоненты
Первый кластер (К1) включал преимущественно параметр гуморального иммунного ответа, дающий наибольшие факторные нагрузки на первую главную компоненту – авидность антител к A/H1N1pdm09, A/H3N2, B/Victoria и B/Yamagata. К К1 также относилось изменение общего содержания В-лимфоцитов и H1N1-специфичных CD4+ Т-лимфоцитов в крови участников исследования. Кластеры К2-К5 содержали параметры, связанные с изменением уровня различных популяций цитокин-продуцирующих CD4+ и CD8+ Т-лимфоцитов. Параметры, входящие в состав кластеров К2 и К5, имели сходный характер изменений в группах вакцин «Совигрипп» и «Гриппол плюс», что отличало эти две группы от группы «Ультрикс». Кластер К3, как и кластер К1, обуславливал различия между группами вакцин «Гриппол плюс» и «Совигрипп», а также «Совигрипп» и «Ультрикс». Параметры, входящие в состав кластера К4, давали высокие факторные нагрузки на обе главные компоненты. Все три группы отличались друг от друга по показателям, входящим в состав данного кластера. Таким образом, три исследуемые группы отличались друг от друга по большинству параметров иммунного ответа, о чем свидетельствует формирование трех равноудаленных друг от друга кластеров, объединяющих наблюдения в соответствии с наименованиями вакцин.
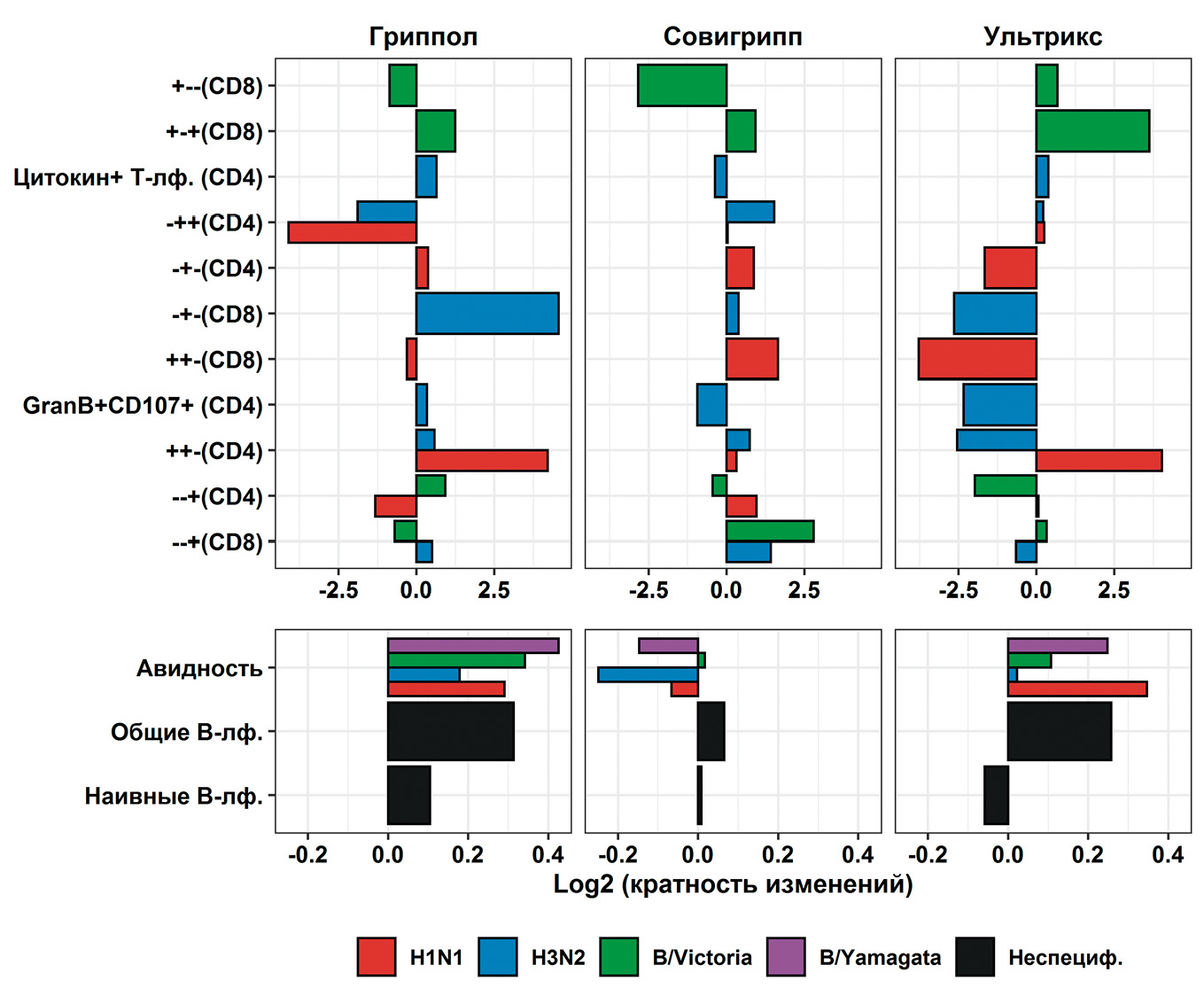
Направление и средняя величина Log2 кратности изменений анализируемых параметров иммунного ответа на 21-й день приведены на рис. 3. Параметры Т-клеточного иммунного ответа (показатели CD4+ и CD8+ Т-клеточного иммунного ответа на антигены A/H1N1pdm09 и B/Victoria) характеризуются выраженным приростом у лиц, привитых вакциной «Совигрипп», в то время как участники исследования, получавшие вакцины «Ультрикс» и «Гриппол плюс», характеризовались менее выраженным приростом или снижением указанных параметров.
Рис. 3. Средняя кратность изменений параметров иммунного ответа, по которым наблюдались наиболее выраженные различия между исследуемыми группами на 21-й день после вакцинации. Обозначения те же, что на рис. 1
Визуализация различий методом РСА на 21-й день показала, что группы участников исследования, привитых вакцинами «Совигрипп», «Гриппол плюс» и «Ультрикс», наиболее сильно отличались друг от друга по значениям PC1 (рис. 4). Параметры, входящие в К1, дают наибольшие факторные нагрузки на PC1, в значительной степени обуславливая различия между группами. В состав К1 входят показатели CD4+ и CD8+ Т-клеточного иммунного ответа на антигены A/H1N1pdm09 и B/Victoria. Близкое расположение вершин соответствующих векторов на графике главных компонент свидетельствует о выраженной корреляции значений Log2FC указанных параметров иммунного ответа. Исходя из представленных данных, можно заключить, что на 21-й день после вакцинации различия между исследуемыми группами были связаны преимущественно с разными значениями Log2FC параметров Т-клеточного иммунного ответа в исследуемых группах.
Рис. 4. Визуализация различий между группами при помощи метода главных компонент (PCA) на 21-й день после вакцинации. Обозначения те же, что на рис. 2
Проведенный в данной работе мультифакторный анализ позволил выявить ведущие факторы при формировании иммунного ответа после введения препаратов «Гриппол плюс» «Совигрипп» или «Ультрикс». Обнаруженные особенности иммуногенных свойств вакцин «Гриппол» и «Совигрипп» могут быть связаны, по нашему мнению, с наличием адъювантов в их составе. Ранее было показано, что включение адъюванта «Совидон» в состав вакцин повышает их эффективность, стимулирует антителогенез и завершенность фагоцитоза in vivo [3]. Вакцина «Гриппол плюс», благодаря иммуномодулирующим свойствам адъюванта «Полиоксидоний» обладает выраженным действием на параметры клеточного и гуморального иммунного ответа [1].
В то же время на обнаруженные различия показателей в исследуемых группах могли оказать влияние и другие факторы, такие как уровень предсуществующего иммунитета к гриппу у участников данного исследования [9].
Заключение
Проведенный в данной работе комплексный анализ позволил выявить особенности формирования иммунного ответа после вакцинации разными ИГВ («Гриппол плюс», «Совигрипп» или «Ультрикс») в эпидемическом сезоне 2018-2019 гг. Результаты, полученные при помощи визуализации данных методом PCA, позволяют сделать вывод о том, что наибольший вклад в формирование различий между группами приходится на антиген-специфического CD4+ и CD8+ Т-клеточного иммунного ответа. Данный подход с использованием метода PCA является полезным инструментом при анализе параметров иммунного ответа в клинических исследованиях противогриппозных вакцин и других средств специфической профилактики инфекционных заболеваний.
Финансовая поддержка. Работа выполнена в рамках государственного задания Министерства здравоохранения Российской Федерации по теме «Оценка напряженности коллективного иммунитета и эпидемиологической эффективности гриппозных вакцин в Российской Федерации» 2019-2021 гг.
About the authors
K. A. Vasiliev
Federal State Budgetary Institution «Research Institute of Influenza A.A. Smorodintsev» of the Ministry of Health of Russia
Email: cytokines@yandex.ru
A.-P. S. Shurygina
Federal State Budgetary Institution «Research Institute of Influenza A.A. Smorodintsev» of the Ministry of Health of Russia
Email: cytokines@yandex.ru
candidate of medical sciences, senior researcher
Russian Federation, 197376, Prof. Popov str., 15/17, St. PetersburgM. V. Sergeeva
Federal State Budgetary Institution «Research Institute of Influenza A.A. Smorodintsev» of the Ministry of Health of Russia
Email: cytokines@yandex.ru
leading researcher, candidate of biological sciences
Russian Federation, 197376, Prof. Popov str., 15/17, St. PetersburgE. A. Romanovskaya-Romanko
Federal State Budgetary Institution «Research Institute of Influenza A.A. Smorodintsev» of the Ministry of Health of Russia
Email: cytokines@yandex.ru
senior researcher, candidate of biological sciences
Russian Federation, 197376, Prof. Popov str., 15/17, St. PetersburgV. Z. Krivitskaya
Federal State Budgetary Institution «Research Institute of Influenza A.A. Smorodintsev» of the Ministry of Health of Russia
Email: cytokines@yandex.ru
leading researcher of the laboratory for the study of risk factors for influenza and SARS, doctor of biological sciences
Russian Federation, 197376, Prof. Popov str., 15/17, St. PetersburgI. V. Amosova
Federal State Budgetary Institution «Research Institute of Influenza A.A. Smorodintsev» of the Ministry of Health of Russia
Email: cytokines@yandex.ru
head of the laboratory of cell cultures, candidate of biological sciences
Russian Federation, 197376, Prof. Popov str., 15/17, St. PetersburgE. A. Varyushina
Federal State Budgetary Institution «Research Institute of Influenza A.A. Smorodintsev» of the Ministry of Health of Russia
Author for correspondence.
Email: elena.varyushina@influenza.spb.ru
doctor of biological sciences, leading specialist in the field of laboratory research
Russian Federation, 197376, Prof. Popov str., 15/17, St. PetersburgZ. V. Buzitskaya
Federal State Budgetary Institution «Research Institute of Influenza A.A. Smorodintsev» of the Ministry of Health of Russia
Email: cytokines@yandex.ru
candidate of biological sciences, leading researcher
Russian Federation, 197376, Prof. Popov str., 15/17, St. PetersburgM. A. Stukova
Federal State Budgetary Institution «Research Institute of Influenza A.A. Smorodintsev» of the Ministry of Health of Russia
Email: cytokines@yandex.ru
candidate of medical sciences, head of the laboratory
Russian Federation, 197376, Prof. Popov str., 15/17, St. PetersburgD. A. Lioznov
Federal State Budgetary Institution «Research Institute of Influenza A.A. Smorodintsev» of the Ministry of Health of Russia
Email: cytokines@yandex.ru
ddoctor of medical sciences, director of the institute
Russian Federation, 197376, Prof. Popov str., 15/17, St. PetersburgReferences
- Караулов А.В., Быков А.С., Волкова Н.В. Обзор исследований вакцин группы Гриппол и развитие современных адъювантов. Эпидемиология и Вакцинопрофилактика. 2019; 18 (3): 101–119. https://doi: 10.31631/2073-3046-2019-18- 4-101-119. Karaulov А. V., Bykov A. S., Volkova NV. [Review of Grippol Family Vaccine Studies and Modern Adjuvant Development]// Epidemiology and Vaccinal Prevention. 2019. Vol.18. №3. Р.101–119. (In Russ.). https://doi: 10.31631/2073-3046-2019-18-4-101-119.
- Михайлова Е.В., Яшина А.Е., Романовская А.В., Хворостухина Н.Ф. Клиническая эффективность, безопасность, иммуногенность отечественной противогриппозной вакцины нового поколения // Вестник Волгоградского государственного медицинского университета. – 2016. – № 3. – С. 100-103. Mikhailova E.V., Yashina A.E., Romanovskaya A.V., Hvorostukhina N.F. [Clinical efficacy and safety of domestic vaccines against influenza in children of Volgograd ]// Vestnik of the Volgograd State Medical University. 2016. № 3, P. 100–103. (In Russ.).
- Никифорова А.Н., Исакова-Сивак И.Н., Ерофеева М.К., Фельдблюм И.В., Руденко Л.Г. Результаты изучения безопасности и иммуногенности отечественной субъединичной адъювантной вакцины Совигрипп у добровольцев 18–60 лет // Эпидемиология и вакцинопрофилактика. – 2014. – №2. – С. 72-78. Nikiforova A.N., Isakova-Sivak I.N., Erofeeva M.K., Feldblum I.V., Rudenko L.G. The results of studying the safety and immunogenicity of the domestic subunit adjuvant vaccine Sovigripp in volunteers aged 18-60 years]. 2014. Epidemiology and vaccine prevention. №2. Р. 72–78.
- Altenburg A.F., Rimmelzwaan G.F., de Vries R.D.. Virus-specific T cells as correlate of (cross-)protective immunity against influenza //Vaccine. 2015. Vol. 33. No 4. P. 500–6. doi: 10.1016/j.vaccine.2014.11.054
- Janssens Y., Joye J., Waerlop G., Clement F., Leroux-Roels G., Leroux-Roels I. The role of cell-mediated immunity against influenza and its implications for vaccine evaluation // Front. Immunol. 2022. 13:959379. doi: 10.3389/fimmu.2022.959379
- Jolliffe I.T., Cadima J. Principal component analysis: a review and recent developments // Phil. Trans. R. Soc. A. 2016. 2016374: 20150202. http://dx.doi.org/10.1098/rsta.2015.0202
- Kannanganat S., Ibegbu C., Chennareddi L., Robinson H.L., Amara R.R. Multiple-Cytokine-Producing antiviral CD4 T cells are functionally superior to single-Cytokine-Producing cells // J. Virol. 2007. Vol.81. No16. P.8468–76. doi: 10.1128/ JVI.00228-07
- Lam J.H., Baumgarth N. The multifaceted B cell response to influenza virus // J. Immunol. 2019. Vol. 202. No 2. P.351–359. doi: 10.4049/jimmunol.1801208
- Lewnard J. A., Cobey S. Immune History and Influenza Vaccine Effectiveness // Vaccines. 2018. Vol. 6. No 2. P. 28. doi: 10.3390/vaccines6020028.
- McKinstry K.K., Strutt T.M., Kuang Y., Brown D.M., Sell S., Dutton R.W., Swin S.L. Memory CD4+ T cells protect against influenza through multiple synergizing mechanisms // J. Clin. Invest. 2012. Vol. 122. No 8. P.2847–56. doi: 10.1172/JCI63689
- Ohmit S.E., Petrie J.G., Cross R.T., Johnson E., Monto A.S. Influenza hemagglutination-inhibition antibody titer as a correlate of vaccine-induced protection // J. Infec.t Dis. 2011. Vol. 204. No 12. P.1879–85. doi: 10.1093/infdis/jir661
- Paterson S., Kar S., Ung S.K., Gardener Z., Bergstrom E., Ascough S., Kalyan M., Zyla J., Maertzdorf J., Mollenkopf H.-J., Weiner J., Jozwik A., Jarvis H., Jha A., Nicholson B.P., Veldman T., Woods C.W., Mallia P., Kon O.M., Kaufmann S.H.E., Openshaw P.J., Chiu C. Innate-like gene expression of lung-resident memory CD8(+) T cells during experimental human influenza: A clinical study // Am. J. Respir. Crit. Care Med. 2021. Vol. 204. No 7. P. 826–41. doi: 10.1164/rccm.202103-0620OC
- Salk HM, Haralambieva IH, Ovsyannikova IG, Goergen KM, Poland GA. Granzyme b ELISPOT assay to measure influenza-specific cellular immunity // J. Immunol. Methods. 2013. 398-399:44–50. doi: 10.1016/j.jim.2013.09.007
- Somes M.P., Turner R.M., Dwyer L.J., Newall A.T. Estimating the annual attack rate of seasonal influenza among unvaccinated individuals: a systematic review and meta-analysis // Vaccine. 2018. Vol. 36. No 23. P.3199-3207. doi: 10.1016/j.vaccine.2018.04.063
- World Health Organization. Vaccines against influenza: WHO position paper – May 2022 // Wkly Epidemiol. Rec. 2022. Vol. 97, No 19. P. 185-208.
Supplementary files






