Структуры с пористым кремнием, легированные эрбием и иттербием
- Autores: 1
-
Afiliações:
- Самарский национальный исследовательский университет имени академика С.П. Королева
- Edição: Volume 1 (2024)
- Páginas: 212-213
- Seção: ЧАСТЬ I. Физика
- URL: https://cijournal.ru/osnk-sr2024/article/view/632567
- ID: 632567
Citar
Texto integral
Resumo
Обоснование. Актуальной задачей современной физики полупроводников является создание новых материалов оптоэлектроники, повышающих эффективность приборов и расширяющих их функциональные возможности. В качестве такого материала можно использовать пористый кремний (ПК), допированный редкоземельными элементами (РЗЭ) [1]. Для солнечной энергетики использование этого материала как заднего ап-конверсионного покрытия в кремниевых фотоэлектрических преобразователях позволяет эффективно использовать большую часть солнечного спектра за счет ап-конверсионного преобразования ИК области в видимую часть спектра, которая, в свою очередь, уже может поглощаться кремнием. Таким образом, можно повысить эффективность работы солнечной батареи из кремния.
Цель — исследование материала на основе пористого кремния, легированного редкоземельными элементами, позволяющего существенно расширить диапазон эффективно используемого спектра, для создания более эффективного фотоэлектрического преобразователя солнечных панелей.
Методы. Для создания пористых структур на подложках из монокристаллического кремния (удельное сопротивление 1,37 Ом · см) использовался метод электрохимического травления. Травление проводилось в растворе плавиковой кислоты и этанола (HF : C2H5OH) в соотношении 1 : 1 при постоянной плотности тока 10 мА/см². После завершения травления пористый слой подвергался легированию ионами эрбия и иттербия. Легирование осуществлялось путем пропитки пористого слоя раствором нитрата эрбия, с последующим высокотемпературным отжигом в воздушной среде при 950 °C в течение 30 минут.
Для комплексного исследования полученных материалов были проведены спектрометрические измерения. Спектры комбинационного рассеяния (Рамана) регистрировались с использованием спектрометра EnSpectr, оборудованного лазером с длиной волны возбуждения 532 нм. Измерения проводились при температуре 300 К, в условиях отсутствия внешнего освещения, с использованием объективов с 20-кратным и 50-кратным увеличением.
Люминесцентные свойства материалов были исследованы методом микро-фотолюминесценции (микро-ФЛ). Возбуждение сигнала микро-ФЛ осуществлялось непрерывным лазером с длиной волны 532 нм и мощностью 10 мВт. Сигнал микро-ФЛ регистрировался с помощью охлаждаемого германиевого детектора. Измерения проводились при температуре 300 К.
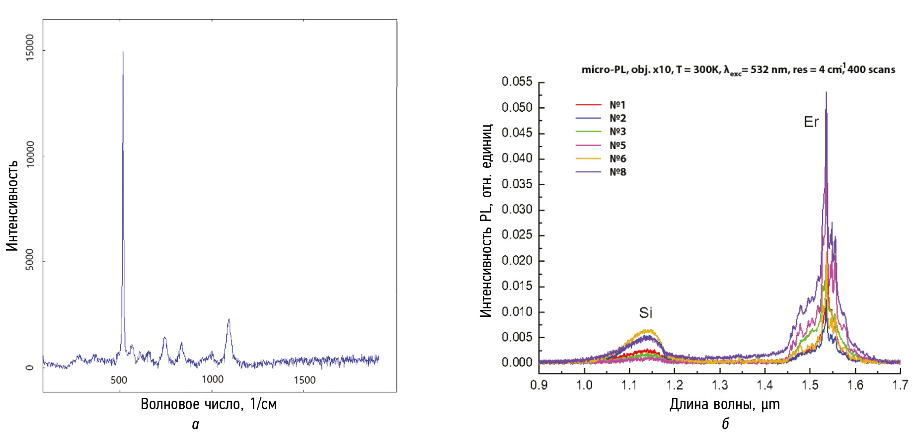
Результаты. Изучение спектров рамановского рассеяния (риc. 1, а) позволило обнаружить колебательные моды для оксидов эрбия и иттербия, присутствующих в пористом слое. Важно отметить, что сгенерированные спектры рассеяния, полученные в процессе исследования, совпали с результатами экспериментов [2]. Это свидетельствует о присутствии и возможности накачки пары эрбий/иттербий в слоях пористого слоя. Наличие групп N-O и NO3 говорит о наличии безводных солей эрбия и иттербия в слоях ПК.
Рис. 1. Спектры комбинационного рассеяния света образцов ПК легированным эрбием и иттербием (а), спектры микро-фотолюминисценции (б)
Полученные структуры показывают хорошие люминесцентные свойства при комнатной температуре, не проявляя обычного в таких случаях концентрационного гашения люминесценции [3]. Спектры микро-ФЛ (рис. 1, б) всех исследованных образцов демонстрировали пики в диапазоне длин волн от 1,46 до 1,58 мкм, соответствующие переходам между мультиплетами эрбия 4I13/2 и 4I15/2. Также были зафиксированы менее интенсивные пики на длине волны 1,14 мкм, связанные с излучением кремния.
Выводы. Проведенное исследование показало перспективность использования пористого кремния, легированного редкоземельными элементами, в качестве активной среды для создания высокоэффективных оптоэлектронных устройств. Результаты работы могут быть положены в основу разработки методики изготовления фотоэлектрических преобразователей. Дальнейшие исследования в этом направлении помогут усовершенствовать характеристики таких устройств и расширить области их применения.
Texto integral
Обоснование. Актуальной задачей современной физики полупроводников является создание новых материалов оптоэлектроники, повышающих эффективность приборов и расширяющих их функциональные возможности. В качестве такого материала можно использовать пористый кремний (ПК), допированный редкоземельными элементами (РЗЭ) [1]. Для солнечной энергетики использование этого материала как заднего ап-конверсионного покрытия в кремниевых фотоэлектрических преобразователях позволяет эффективно использовать большую часть солнечного спектра за счет ап-конверсионного преобразования ИК области в видимую часть спектра, которая, в свою очередь, уже может поглощаться кремнием. Таким образом, можно повысить эффективность работы солнечной батареи из кремния.
Цель — исследование материала на основе пористого кремния, легированного редкоземельными элементами, позволяющего существенно расширить диапазон эффективно используемого спектра, для создания более эффективного фотоэлектрического преобразователя солнечных панелей.
Методы. Для создания пористых структур на подложках из монокристаллического кремния (удельное сопротивление 1,37 Ом · см) использовался метод электрохимического травления. Травление проводилось в растворе плавиковой кислоты и этанола (HF : C2H5OH) в соотношении 1 : 1 при постоянной плотности тока 10 мА/см². После завершения травления пористый слой подвергался легированию ионами эрбия и иттербия. Легирование осуществлялось путем пропитки пористого слоя раствором нитрата эрбия, с последующим высокотемпературным отжигом в воздушной среде при 950 °C в течение 30 минут.
Для комплексного исследования полученных материалов были проведены спектрометрические измерения. Спектры комбинационного рассеяния (Рамана) регистрировались с использованием спектрометра EnSpectr, оборудованного лазером с длиной волны возбуждения 532 нм. Измерения проводились при температуре 300 К, в условиях отсутствия внешнего освещения, с использованием объективов с 20-кратным и 50-кратным увеличением.
Люминесцентные свойства материалов были исследованы методом микро-фотолюминесценции (микро-ФЛ). Возбуждение сигнала микро-ФЛ осуществлялось непрерывным лазером с длиной волны 532 нм и мощностью 10 мВт. Сигнал микро-ФЛ регистрировался с помощью охлаждаемого германиевого детектора. Измерения проводились при температуре 300 К.
Результаты. Изучение спектров рамановского рассеяния (риc. 1, а) позволило обнаружить колебательные моды для оксидов эрбия и иттербия, присутствующих в пористом слое. Важно отметить, что сгенерированные спектры рассеяния, полученные в процессе исследования, совпали с результатами экспериментов [2]. Это свидетельствует о присутствии и возможности накачки пары эрбий/иттербий в слоях пористого слоя. Наличие групп N-O и NO3 говорит о наличии безводных солей эрбия и иттербия в слоях ПК.
Рис. 1. Спектры комбинационного рассеяния света образцов ПК легированным эрбием и иттербием (а), спектры микро-фотолюминисценции (б)
Полученные структуры показывают хорошие люминесцентные свойства при комнатной температуре, не проявляя обычного в таких случаях концентрационного гашения люминесценции [3]. Спектры микро-ФЛ (рис. 1, б) всех исследованных образцов демонстрировали пики в диапазоне длин волн от 1,46 до 1,58 мкм, соответствующие переходам между мультиплетами эрбия 4I13/2 и 4I15/2. Также были зафиксированы менее интенсивные пики на длине волны 1,14 мкм, связанные с излучением кремния.
Выводы. Проведенное исследование показало перспективность использования пористого кремния, легированного редкоземельными элементами, в качестве активной среды для создания высокоэффективных оптоэлектронных устройств. Результаты работы могут быть положены в основу разработки методики изготовления фотоэлектрических преобразователей. Дальнейшие исследования в этом направлении помогут усовершенствовать характеристики таких устройств и расширить области их применения.
Sobre autores
Самарский национальный исследовательский университет имени академика С.П. Королева
Autor responsável pela correspondência
Email: nesand2606@mail.ru
студент, группа 4101-030402D, физический факультет
Rússia, СамараBibliografia
- Shalav A., Richards B.S., Trupke T., et al. Application of NaYF4:Er3+ up-converting phosphors for enhanced near-infrared silicon solar cell response // Appl Phys Lett. 2005. Vol. 86. ID 013505. doi: 10.1063/1.1844592
- Cui J., Hope G.A. Raman and fluorescence spectroscopy of CeO2, Er2O3, Nd2O3, Tm2O3, Yb2O3, La2O3, and Tb4O7 // J Spectrosc. 2015. ID 940172. doi: 10.1155/2015/940172
- Корсунская Н.Е., Стара Т.Р., Хоменкова Л.Ю., и др. Природа излучения пористого кремния, полученного химическим травлением // Физика и техника полупроводников. 2010. Т. 44, № 1. С. 82–86. EDN: RCQAQN
Arquivos suplementares



