Study of factors determining the choice of type and load capacity of logging loading and transport vehicles
- Авторлар: Klubnichkin E.E.1, Klubnichkin V.E.1, Naumov V.N.1
-
Мекемелер:
- Bauman Moscow State Technical University
- Шығарылым: № 1 (2025)
- Беттер: 87-103
- Бөлім: MECHANICAL ENGINEERING AND TRANSPORT: THEORY, TECHNOLOGY, PRODUCTION
- ##submission.datePublished##: 30.05.2025
- URL: https://cijournal.ru/1816-210X/article/view/680791
- EDN: https://elibrary.ru/RNHUEG
- ID: 680791
Дәйексөз келтіру
Толық мәтін
Аннотация
The article is devoted to the study of analytical dependencies of factors determining the type and load capacity of loading and transport vehicles. The hourly productivity and cost of skidding of these vehicles are considered, as well as the relationships between factors such as speed, downtime, skidding distance and load capacity utilization. The presented graphs and technical data confirm the analysis. It is concluded that the average technical speed of loading and transport vehicles depends on their type, load capacity and service life, and that different types of vehicles have different speeds depending on their load capacity. Analytical expressions are given for calculating the average technical speed for various types of loading and transport vehicles. Based on the analysis and calculations, the possibility of introducing improvements to increase the efficiency and productivity of loading and transport vehicles is considered. In the future, this may include optimizing load capacity, reducing downtime or increasing speed, depending on specific requirements and constraints. This study provides valuable information to improve the efficiency and productivity of loading and transport vehicles. They enable design and research professionals to optimize productivity and make informed decisions about the design of logging loading and transport vehicles.
Толық мәтін
Введение
Лесозаготовительные погрузочно-транспортные машины (ПТМ) играют решающую роль в лесной промышленности, особенно при трелевке древесины. Для оптимизации производительности и снижения затрат важно понимать аналитические зависимости, которые определяют тип и грузоподъемность лесозаготовительных погрузочно-транспортных машин. Цель настоящей статьи ‒ проанализировать такие факторы, как скорость, время простоя, расстояние по трелевочному волоку и грузоподъемность, а также их влияние на почасовую производительность и стоимость трелевки древесины. Представляя графики и технические данные, мы сделаем выводы о средней технической скорости лесозаготовительных погрузочно-транспортных машин в зависимости от их типа, грузоподъемности и срока службы. Кроме того, будут предоставлены аналитические выражения для расчета средней технической скорости для различных типов лесозаготовительных погрузочно-транспортных машин, предназначенные для специалистов лесной промышленности.
Проанализируем факторы, влияющие на первичный транспорт леса.
Скорость. Скорость лесозаготовительной погрузочно-транспортной машины существенно влияет на ее производительность. Более высокие скорости обеспечивают более быструю трелевку, сокращая общее время в пути и увеличивая количество ходок, совершаемых за определенный промежуток времени. Это, в свою очередь, повышает почасовую производительность и снижает стоимость трелевки древесины.
Время простоя. Время простоя относится ко времени, затрачиваемому на техническое обслуживание, ремонт и периоды отдыха лесозаготовительных погрузочно-транспортных машин. Минимизация времени простоя имеет решающее значение для обеспечения оптимальной производительности. Такие факторы, как качество технического обслуживания и доступность запасных частей, влияют на общее время простоя лесозаготовительных погрузочно-транспортных машин.
Расстояние по трелевке. Расстояние между местом заготовки древесины и верхним складом значительно влияет на транспортные расходы. На большие расстояния требуется больше топлива, увеличивается износ лесозаготовительных погрузочно-транспортных машин и, как следствие, повышается общая стоимость трелевки древесины.
Грузоподъемность. Грузоподъемность лесозаготовительных погрузочно-транспорт-ных машин определяет объем древесины, который можно перевезти за один рейс. Более высокая грузоподъемность обеспечивает более эффективную трелевку, что приводит к увеличению почасовой производительности и снижению транспортных расходов.
Для определения средней технической скорости лесозаготовительных погрузочно-транспортных машин используются различные аналитические зависимости. Эти зависимости подчиняются таким факторам, как тип лесозаготовительной погрузочно-транспортной машины, грузоподъемность и срок службы. Анализируя обширные наборы данных и проводя статистический анализ, мы можем получить ценную информацию.
Аналитические зависимости факторов, определяющих тип и грузоподъемность погрузочно-транспортных машин
Ранее было установлено [1, 2, 5], что факторы, определяющие тип и грузоподъемность погрузочно-транспортных машин, одновременно характеризуют степень их использования ‒ часовую производительность и себестоимость транспортной работы.
Часовая производительность погрузочно-транспортных машин на лесном первичном транспорте определяется следующей формулой:
т/час [1]
и
т. м3/час [2]
где: W ‒ производительность погрузочно-транспортных машин соответственно W1 [т]. и W2 [т. м3 / час];
‒ средняя техническая скорость движения в [км/час];
‒ номинальная грузоподъемность погрузочно-транспортных машин в [т];
‒ коэффициент использования грузоподъемности;
‒ коэффициент использования расстояния трелевки;
‒ среднее расстояние трелевки в [км];
‒ время простоя погрузочно-транспортных машин во время погрузки и разгрузки в [час на одну трелевку].
Себестоимость единицы транспортной работы погрузочно-транспортных машин определяется как сумма затрат, приходящихся на один час работы, деленная на часовую производительность:
; [3]
где: S ‒ себестоимость единицы транспортной работы в [руб.];
‒ постоянные расходы, связанные с одним часом работы погрузочно-транспортных машин в [руб.];
‒ переменные расходы, связанные с одним часом работы погрузочно-транспортных машин в [руб.];
‒ заработная плата оператора за час работы в [руб.];
Анализируя формулы часовой производительности [6-11] и себестоимости транспортной работы [12-14], легко убедиться, что здесь взаимоувязаны все факторы (скорость движения, время простоя под погрузкой-разгрузкой, расстояние трелевки, коэффициент использования грузоподъемности), которые определяют выбор типа и грузоподъемности погрузочно-транспортных машин. Однако, из ранее проведенного анализа использования погрузочно-транспортных машин [1-5], а также зависимостей 1 и 2 легко убедиться в том, что коэффициент использования расстояния трелевки и среднее расстояние трелевки сортиментов, хотя и оказывают существенное влияние на часовую производительность погрузочно-транспортных машин и себестоимость трелевки, но практически от него не зависят, поскольку их влияние ограничивают только условия трелевки сортиментов. В то же время средняя техническая скорость, время простоя под погрузкой разгрузкой, коэффициент использования грузоподъемности при прочих равных условиях зависит от типа и грузоподъемности ПТМ.
Эти обстоятельства позволяют использовать зависимости 1 и 2 для комплексной оценки транспортного процесса, а полученные по ним результаты ‒ в качестве показателей его эффективности.
Подтверждением сказанного являются данные, представленные на графиках рис. 1-4 и технические данные погрузочно-транспортных машин отечественного и зарубежного [1, 2, 5, 15] производства. Как видно, они подтверждают определенную взаимосвязь между максимальной скоростью движения, временем простоя при погрузке и разгрузке, удельной емкостью конической площадки и номинальной грузоподъемностью погрузочно-транспортных машин, справедливую для определенного типа. Запишем ее в общем виде следующим образом; а затем исследуем в случаях: использования погрузочно-транспортных машин, колесных, гусеничных, оснащенных как прицепами, так и полуприцепами.
Рис. 1. График зависимости максимальной скорости движения отечественных погрузочно-транспортных машин от их грузоподъемности
Fig. 1. Dependence of the maximum speed of domestic loading and transport vehicles on their load capacity
Рис. 2. График зависимости времени простоя погрузочно-транспортных машин под погрузочно-разгрузочными операциями от их грузоподъемности
Fig. 2. Dependence of the downtime of loading and transport vehicles under loading and unloading operations on their load capacity
Рис. 3. График зависимости удельной емкости кониковой площадки погрузочно-транспортных машин от их грузоподъемности
Fig. 3. Dependence of the specific capacity of the conical platform of loading and transport vehicles on their load capacity
Рис. 4. График зависимости максимальной скорости движения зарубежных погрузочно-транспортных машин от их грузоподъемности
Fig. 4. Dependence of the maximum speed of foreign loading and transport vehicles on their load capacity
Исследование функции
Выразим функциональную зависимость для указанных типов ПТМ графически (рис. 5), пользуясь данными максимальных скоростей движения, полученными при испытаниях [1, 4], а также исходя из технических характеристик ПТМ [5, 2, 15].
Рис. 5. Функциональная зависимость
Fig. 5. Functional dependence
Исследуя представленные на рис. 5 графики убеждаемся, что характер изменения максимальных скоростей движения одинаков для всех типов погрузочно-транспортных машин, тогда как их абсолютные значения различны. Наибольшие скорости движения наблюдаются у первого типа погрузочно-транспортных машин, несколько ниже у погрузочно-транспортных машин второго типа, оснащенных прицепами, и тягачей, оснащенных полуприцепами, и самые малые ‒ у погрузочно-транспортных машин третьего типа. Однако диапазон отклонений максимальных и минимальных скоростей движения по мере увеличения грузоподъемности погрузочно-транспортных машин наибольший у погрузочно-транспортных машин третьего типа (с 10 до 20 км/час), а наименьший – у погрузочно-транспортных машин-тягачей, оснащенных полуприцепами и погрузочно-транспортных машин, оснащенных прицепами (5 до 15 км/час).
Аналогичная закономерность наблюдается и у погрузочно-транспортных машин зарубежного производства, однако стоит отметить, что тягово-динамические характеристики некоторых типов зарубежных ПТМ несколько выше по сравнению с отечественными.
Вместе с тем, проведенными ранее исследованиями д-ров техн. наук Е.Г. Хитрова [6, 11], Г.О. Котиева [1], данными зарубежных [13] и отечественных [3, 4] экспериментов, практически подтверждено, что дорожные условия (подъемы, спуски, пеньки, поваленные деревья, камни, интенсивность движения, ровность поверхности дороги и т.п.), а также техническое состояние погрузочно-транспортных машин оказывают существенное влияние на максимально возможную скорость движения ПТМ.
В связи с вышеизложенным, максимальная (конструктивная) скорость движения погрузочно-транспортных машин в обычных эксплуатационных условиях достигается лишь частично, а не полностью.
Так, по данным д-ров техн. наук Е.Г. Хитрова [6, 11] и Г.О. Котиева [1] фактическая среднетехническая скорость погрузочно-транспортных машин в лесу на лесосеке составляет 0,3-0,35 от расчетной, а более поздними исследованиями подтверждают, что наиболее экономичными, по расходу топлива, для всех погрузочно-транспортных машин, будут скорости 15-25 км/час при движении без груза и 10-15 км/час ‒ с грузом. При этом в расчет приняты также данные исследований д-ра техн. наук В.С. Макарова [4], на основе которых установлено, что средние скорости движения погрузочно-транспортной машины с грузом и без него различаются незначительно, хотя плавность хода машины значительно зависит от нагрузки. Это можно объяснить тем, что при движении без груза динамические характеристики машины способствуют увеличению скорости.
Кроме того, энергия, затрачиваемая на преодоление сопротивления неровностям дороги, практически не зависит от полной массы погрузочно-транспортной машины.
Если учесть изложенное, а также и то, что 90 % парка первичного лесного транспорта [5] составляют базовые модели погрузочно-транспортных машин, у которых Vmax = 15 км/час, а коэффициент использования пройденного пути для средних условий эксплуатации не превышает 0,515 [1, 2, 5-11], в общем случае для всего парка погрузочно-транспортных машин в России средняя техническая скорость составит около 10 км/ч, что соответствует Vt = 0,45 Vmax .
Полученные величины средних технических скоростей заложены нами во всех дальнейших расчетах.
Методом наименьших квадратов устанавливаем аналитическое выражение функции , которое в конечном виде может быть записано следующим образом:
а) для одиночных погрузочно-транспортных машин типа 1:
(4)
б) для одиночных погрузочно-транспортных машин типа 2:
(5)
в) для одиночных погрузочно-транспортных машин типа 3:
(6)
Максимальная относительная погрешность при определении по аналитическим зависимостям (4,5 и 6) находится в пределах 0,5-1,1 %, что позволяет использовать указанные выражения для практических расчетов.
Из изложенного можно сделать следующие выводы:
а) в равнозначных дорожных условиях средняя техническая скорость погрузочно-транспортных машин определяется ее типом, грузоподъемностью, сроком службы;
б) средняя техническая скорость для различного типажа погрузочно-транспортных машин, в зависимости от ее грузоподъемности, при прочих равных условиях, имеет одинаковый характер изменения, но по абсолютной величине она у ПТМ типа 3 на 15-20 % ниже, чем ПТМ типа 1 погрузочно-транспортных машин и на 5-10 % ниже, чем у ПТМ с полуприцепами и с прицепами;
в) наиболее существенное изменение средней технической скорости (1 км/час на 1 т) наблюдается у погрузочно-транспортных машин малой и средней грузоподъемности (до 6-7 т), тогда как при дальнейшем повышении грузоподъемности (с 7 до 27 т средняя техническая скорость изменяется весьма незначительно (0,25 км/час на 1 т).
Исследование функции
Пользуясь нормативным временем простоя погрузочно-транспортной машины под погрузочно-разгрузочными операциями [1, 2, 5-12], в зависимости от типа и грузоподъемности погрузочно-транспортных машин, а также способа работ, построим график , для наиболее типичных сортиментов (рис. 6).
Рис. 6. Функциональная зависимость способы погрузки-разгрузки зависят от типа используемого оборудования: — полумеханизированная; - механизированная
Fig. 6. Functional dependence loading and unloading methods depend on the type of equipment used: — semi-mechanized; - mechanized
Аналитическая зависимость определена и представлена следующим выражением:
(7)
(8)
Анализируя зависимость (7 и 8) и характер изменения кривых () , представленных на рис. 6, для погрузочно-транспортных машин, тягачей оснащенных полуприцепами и погрузочно-транспортных машин оснащенных прицепами можно сделать следующие выводы.
- Время простоя погрузочно-транспортных машин во время погрузки и разгрузки увеличивается с ростом их грузоподъемности, причем это увеличение более выражено у машин с малой грузоподъемностью (до 6-7 т) и менее заметно при грузоподъемности свыше 6-7 т. Нормативное время простоя у погрузочно-транспортных машин третьего типа, при прочих равных условиях, в 2-2,5 раза меньше, чем у машин-тягачей, оснащенных седельными полуприцепами и погрузочно-транспортных машин оснащенных прицепами.
- Форма изменения кривой напоминает зеркальное отражение функции , что указывает на то, что влияет на производительность погрузочно-транспортных машин противоположным образом по сравнению с
Поскольку средние нормативы могут значительно отличаться от реальных условий эксплуатации погрузочно-транспортной машины, важно определить, насколько велика эта разница и повлияет ли она на вышеуказанные выводы. С этой целью проведен хронометраж времени простоя погрузочно-транспортных машин различного типа и грузоподъемности под погрузочно-разгрузочными операциями при сплошных рубках леса с верхних, нижних складов и других объектов.
Данные хронометража, полученные по фактическому времени простоя ПТМ под погрузочно-разгрузочными операциями и обработанные в соответствии с «Методикой статистической обработки эмпирических данных» (ГОСТ-РТМ 44-62), подчиняются нормальному закону распределения Гауса [18-24]. Сопоставив нормативные и хронометражные данные времени простоя под погрузочно-разгрузочными операциями (рис. 7), убеждаемся, что в отдельных случаях имеются небольшие отклонения, но относительная погрешность полученных результатов не превышает 9 %, т.е. находится в допустимых пределах.
Рис. 7. Сравнение норм. и факт. Расхождение норм. и факт. Критерий согласия Пирсона:
Fig. 7. Comparison of norms. and is a fact. The discrepancy between norms. and is a fact. Pearson's criterion of consent:
Таким образом, ранее установленные закономерности справедливы также и для реальных условий трелевки сортиментов, следовательно, те выводы, которые сделаны для нормативного , справедливы и закономерны для фактического времени простоя погрузочно-транспортных машин под погрузочно-разгрузочными операциями. Нормируемое время простоя погрузочно-транспортных машин во время погрузки и разгрузки измеряется в часах на одну ходку.
Анализ функции
Практически установлено, что эффективность использования грузоподъемности погрузочно-транспортных машин зависит от характера трелюемого груза, геометрических параметров конической площадки и номинальной грузоподъемности этих машин [1, 2, 5].
На основе статистических данных о трелевке сортиментов первичны транспортом [15-17] для построения функциональной зависимости ограничимся крайними условиями, когда объемный вес перевозимых сортиментов находится в пределах 0,8; 1,0 и 1,8 т/м3, т.е.: больше, меньше и равен единице.
Коэффициент использования грузоподъемности определяется по формуле:
... (9)
где: ‒ фактический вес трелюемого груза в т;
d ‒ объемный вес груза в т/м3;
‒ емкость кониковой площадки в м3.
Результаты расчетов коэффициента использования грузоподъемности представлены на графиках (рис. 8) для погрузочно-транспортных машин, погрузочно-транспортных машин ‒ тягачей с полуприцепами и погрузочно-транспортных машин, оснащенных прицепами.
Рис. 8. Функциональная зависимость — объемный вес груза d = 1,8 т/мЗ; d = 1,0 т/м3;- .-.-.-.-.- d = 0,8 т/м3
Fig. 8. Functional dependence — volumetric weight of the cargo d = 1,8 t/m3; d = 1,0 t/m3;- .-.-.-.-.- d = 0.8 t/m3
Анализируя указанные зависимости, можно заключить, что на коэффициент использования грузоподъемности погрузочно-транспортных машин наиболее значительное влияние оказывает характер и физические свойства трелюемого груза (порода древесины). Это влияние тем больше, чем меньше грузоподъемность погрузочно-транспортной машины, используемой для трелевки сортиментов. Исключением являются погрузочно-транспортные машины, для которых коэффициент использования грузоподъемности в значительной степени зависит от физических свойств груза, и с увеличением грузоподъемности этих машин данный коэффициент изменяется весьма незначительно.
Следовательно, коэффициент использования грузоподъемности надлежит учитывать в тех случаях, когда объемный вес груза практически ниже единицы, но так как удельный вес этих сортиментов, к общему числу трелевки менее 10 %, то в дальнейшем для наших расчетов, принимаем = 0,85-1,0 в зависимости от типа и грузоподъемности погрузочно-транспортных машин.
Таким образом мы определили функциональные зависимости , исследовали закономерности их изменения в зависимости от типа и грузоподъемности погрузочно-транспортных машин и перейдем дальше к комплексным исследованиям влияния типа и грузоподъемности погрузочно-транспортных машин на ее производительности и себестоимость транспортной работы, т.е. на эффективность транспортного процесса в целом.
Исследование влияния типа и грузоподъемности погрузочно-транспортных машин на ее производительность и себестоимость транспортной работы
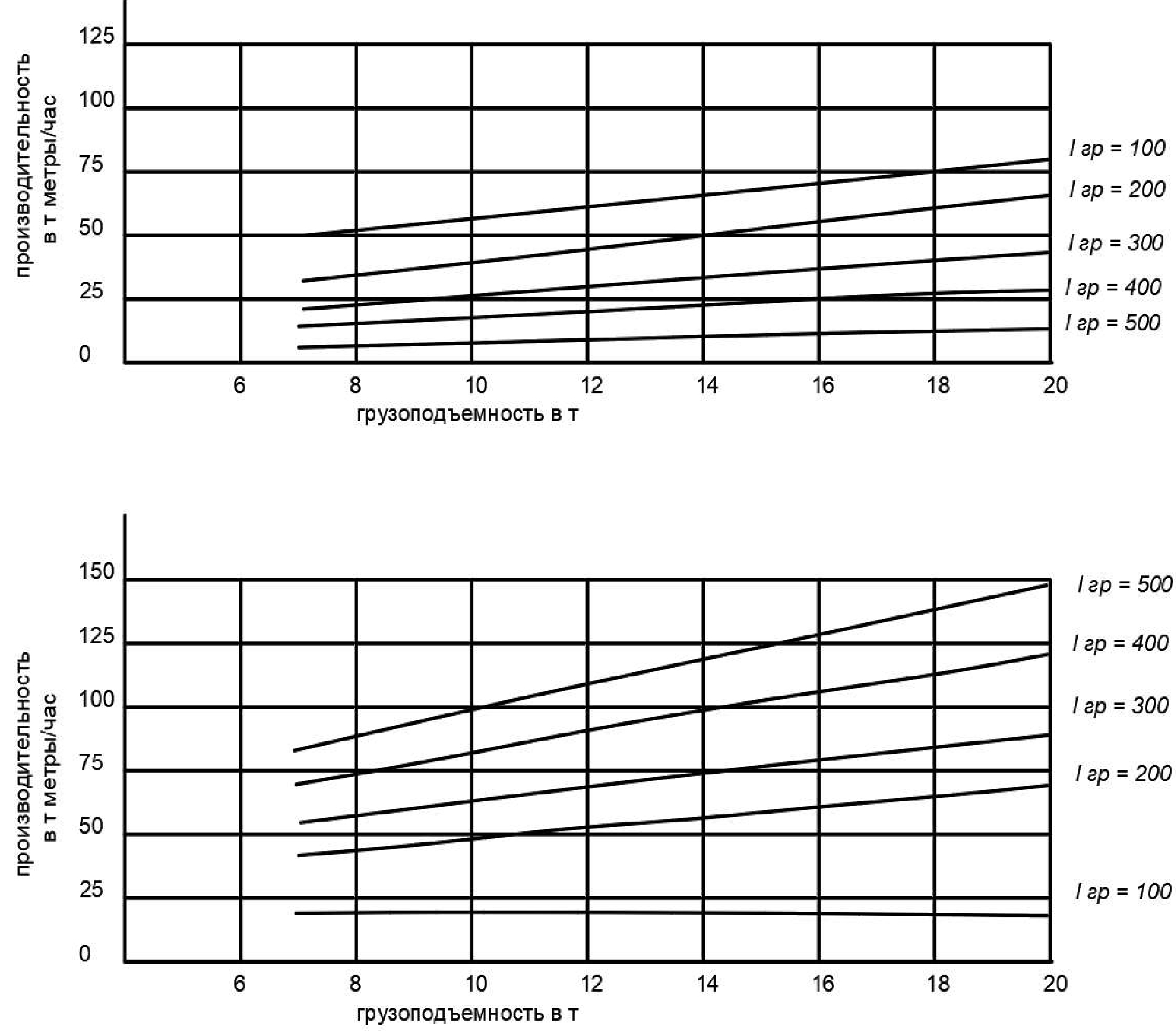
Для определения комплексного влияния типажа и грузоподъемности погрузочно-транспортных машин на ее производительность и себестоимость транспортной работы, в зависимости от факторов их определяющих, воспользуемся теоретическими предпосылками разложения фактора на его составляющие [1, 2, 5-12]. С этой целью построим графически функцию , поставив в выражение производительности 1 и 2 ранее полученные нами результаты , и для типичных условий трелевки сортиментов.
Упрощая расчеты, допускаем, что коэффициент использования расстояния трелевки = 0,5, и расстояние трелевки сортиментов принимаем в диапазоне 100, 200, 300, 400 и 500 м.
Полученные результаты расчета производительности погрузочно-транспортных машин, для заданных условий трелевки сортиментов, представлены на графиках выборочными данными, (рис. 9, 10 и 11 ‒ тип 1,2 и 3 ПТМ соответственно).
Рис. 9. Функциональная зависимость ПТМ 1 тип
Fig. 9. Functional dependence PTM type 1
Рис. 10. Функциональная зависимость ПТМ 2 тип
Fig. 10. Functional dependence PM type 2
Рис. 11. Функциональная зависимость ПТМ 3 тип
Fig. 11. Functional dependence PM type 3
Анализируя представленные на графиках зависимости и выборочные данные, устанавливаем следующее.
Производительность погрузочно-транспортных машин возрастает по мере увеличения грузоподъемности, до 6-7 т ‒ по закону гиперболы, а далее ‒ по закону прямой линии. Наиболее интенсивный рост производительности отмечается у погрузочно-транспортных машин третьего типа, затем ПТМ второго типа, а самый малый ‒ у одиночных ПТМ первого типа.
По мере увеличения расстояния трелевки сортиментов производительность у всех типов погрузочно-транспортных машин в т·м3 увеличивается, а в т ‒ снижается. Однако прямой зависимости между производительностью и грузоподъемностью ПТМ даже одного и того же типажа не наблюдается.
При выборе типа и грузоподъемности погрузочно-транспортных машин ключевыми факторами, влияющими на их производительность и стоимость транспортных работ, являются: средняя техническая скорость и время простоя во время погрузки и выгрузки. С увеличением грузоподъемности погрузочно-транспортных машин их производительность возрастает для всех типов, однако это не происходит в прямой пропорции, так как определяющие факторы имеют нелинейную зависимость. Достичь прямой пропорциональности между грузоподъемностью и производительностью погрузочно-транспортных машин возможно только при условии, что отношения средней технической скорости и времени простоя под погрузочно-разгрузочными операциями останутся постоянными относительно их грузоподъемности. Повышение производительности погрузочно-транспортных машин с одно временным снижением себестоимости трелевки сортиментов справедливо, по мере повышения его грузоподъемности лишь до 6-7 т, а с превышенным последний, для каждого типа погрузочно-транспортных машин, существуют свои определенные условия, которые определяют оптимум грузоподъемности по себестоимости трелевки, в большинстве случаев, не совпадающий с оптимумом по производительности.
Поэтому при выборе типа и грузоподъемности погрузочно-транспортных машин в заданных условиях эксплуатации следует руководствоваться следующими общими принципами:
а) первоначально выбирается тип погрузочно-транспортных машин, последовательно;
б) как правило, погрузочно-транспортные машины большей грузоподъемности всегда более производительный, если они не уступает по скорости движения и времени простоя под погрузкой-разгрузкой своим предшественникам;
в) при малых расстояниях трелевки сортиментов (до 100-150 м) более производительно использовать погрузочно-транспортные машины требующий сравнительно небольшого времени простоя под погрузкой-разгрузкой, даже если они уступает по скорости движения другим сравниваемым типам, при расстояниях трелевки более 200-300 м целесообразно использовать погрузочно-транспортные машины обладающий высокими скоростными качествами;
г) в случае выбора погрузочно-транспортных машин грузоподъемностью более 16-17 т следует кроме их производительности также учитывать и себестоимость трелевки для конкретно заданных условий.
Выводы
Анализ аналитических зависимостей, определяющих тип и грузоподъемность лесозаготовительных погрузочно-транспортных машин, имеет критически важное значение для оптимизации производительности и снижения затрат в лесопромышленном комплексе. Принимая во внимание такие факторы, как скорость, время простоя, расстояние по трелевочному волоку и грузоподъемность, специалисты лесной промышленности могут принимать обоснованные решения относительно выбора и использования лесозаготовительных погрузочно-транспортных машин. Представленные графики, технические данные и аналитические выражения дают ценную информацию о средней технической скорости лесозаготовительных погрузочно-транспортных машин, позволяя профессионалам отрасли максимизировать эффективность и рентабельность операций по транспортировке древесины.
Устанавливаются функциональные зависимости и исследуется влияние типа и грузоподъемности погрузочно-транспортных средств на производительность и стоимость транспортных работ. Полученные результаты свидетельствуют о том, что характер груза, физические свойства и грузоподъемность машин играют решающую роль в определении производительности и результативности транспортного процесса.
Авторлар туралы
E. Klubnichkin
Bauman Moscow State Technical University
Хат алмасуға жауапты Автор.
Email: klubnichkin@bmstu.ru
ORCID iD: 0000-0002-4086-1011
Ресей, Moscow
V. Klubnichkin
Bauman Moscow State Technical University
Email: vklubnichkin@bmstu.ru
ORCID iD: 0000-0002-1231-8185
Ресей, Moscow
V. Naumov
Bauman Moscow State Technical University
Email: naumovvn@bmstu.ru
ORCID iD: 0000-0001-5172-0364
Ресей, Moscow
Әдебиет тізімі
- Kotiev, G.O. A method to improve forwarders' energy performance and environmental compatibility / G.O. Kotiev, E.E. Klubnichkin // IOP Conference Series: Materials Science and Engineering. Nizhny Novgorod State Technical University. 2021. С. 012004.
- Клубничкин, Е.Е. Выбор и обоснование конструкции грузового отсека погрузочно-транспортной машины / Е.Е. Клубничкин, Г.О. Котиев, М.В. Федотов, И.О. Наказной, Д.И. Рогачев // Политематический сетевой электронный научный журнал Кубанского государственного аграрного университета. 2020. № 163. С. 74-90.
- Агейкин, Я.С. Проходимость автомобилей / Я.С. Агейкин. – М.: Машиностроение, 1981. – 230 с.
- Макаров, В.С. Исследование деформационных свойств дорожно- грунтовых основании типа микст / В.С. Макаров, А.М. Беляев, А.И. Марковнина, В.В. Беляков // Инновации и перспективы развития горного машиностроения и электромеханики: IPDME-2021. Сборник тезисов VIII Международной научно-практической конференции. – СПб, 2021. С. 430-434.
- Клубничкин, В.Е. Краткий анализ тенденций развития лесозаготовительных машин / Е.Е. Клубничкин, А.Б. Карташов // Труды НГТУ им. Р.Е. Алексеева. 2020. № 3 (130). С. 93-102.
- Божбов, В.Е. Повышение эффективности процесса трелевки путем обоснования рейсовой нагрузки форвардеров / В.Е. Божбов, Д.А. Ильюшенко, Е.Г. Хитров. – СПб.: СПбГЛТУ, 2015. – 119 с.
- Божбов, В.Е. Повышение эффективности процесса трелевки путем обоснования рейсовой нагрузки форвардеров: специальность 05.21.01 «Технологи и машины лесозаготовок и леснгого хозяйства»: дисс. … ученой степени кандидата технических наук / Северный (Арктический) федеральный университет им. М.В. Ломоносова. Божбов Владимир Евгеньевич. – Архангельск, 2015 – 165 с.
- Сивков, Е.Н. Корреляционная зависимость времени трелевки от интервалов времени на погрузочно-выбраковочные операции форвардера // Научные чтения. Сборник материалов научно-практической конференции профессорско-преподавательского состава Сыктывкарского лесного института по итогам научно-исследовательской работы в 2008 г. – Сыктывкар: Сыктывкарский лесной институт, 2009. С. 527-531.
- Суханов, Ю.В. Имитационное моделирование операций трелевки форвардером: алгоритмы и реализация / Ю.В. Суханов, А.А. Селиверстов, А.П. Соколов, С.Н. Перский // Труды лесоинженерного факультета ПетрГУ. 2012. Т. 9. № 1. С. 58-61.
- Ширнин, А.Ю. Машина для комбинированной трелевки древесины на базе форвардера и анализ ее производительности / А.Ю. Ширнин, И.В. Зверев // Труды Поволжского государственного технологического университета. Серия: Технологическая. 2014. № 2. С. 218-223.
- Хитров, Е.Г. Изучение производительности трелевки форвардером / Е.Г. Хитров, Р.С. Беспалов, Д.О. Диваков, А.Ф. Эйвазов, К.А. Козловская // Сборник статей по материалам научно-технической конференции института технологических машин и транспорта леса по итогам научно-исследовательских работ 2022 г. – СПб.: СПбГЛТУ, 2023. С. 78-83.
- Эйхлер, Л.В. Теоретическое осмысление интеграционных процессов на транспорте (на примере автомобильного транспорта) // Вестник Томского государственного университета. 2012. № 365. С. 125-132.
- Shtepa, A.A. Application of selection criteria in management decision forecasting models at road transport enterprises / A.A. Shtepa, A.V. Ivanova // Перспективы развития и основные вопросы в науке. Материалы Национальной научно-практической конференции. – Воронеж: ВГЛТУ, 2023. С. 68-75.
- Епишкин, В.Е. Совершенствование методики расчета предприятий автомобильного транспорта // Теплофизические и технологические аспекты повышения эффективности машиностроительного производства. Труды IV международной научно-технической конференции (Резниковские чтения). – Тольятти: Тольяттинский государственный университет, 2015. С. 169-175.
- Клоков, Д.В. Обоснование параметров и оценка динамических показателей лесной колесной погрузочно-транспортной машины: 05.21.01 «Технология и машины лесозаготовок и лесного хозяйства»: автореферат дисс. … ученой степени кандидата технических наук / Белорусский государственный технологический университет. Минск, 2001. – 23 с.
- Клоков, Д.В. Оценка энергетических параметров лесной погрузочно-транспортной машины / Д.В. Клоков,. А.А. Ермалицкий // Актуальные проблемы лесного комплекса. 2005. № 12. С. 138-142.
- Войнаш, С.А. Обоснование параметров малогабаритной погрузочно-транспортной машины / С.А. Войнаш, А.С. Войнаш // Инновации в сельском хозяйстве. 2015. № 3 (13). С. 138-141.
- Шор, Н.З. Применение метода градиентного спуска для решения сетевой транспортной задачи // Материалы науч. семинара по теорет. и прикл. вопр. кибернетики и исследования операций: Науч. совет по кибернетике АН УССР. – Киев, 1962. Вып. 1. С. 9-17.
- Шор, Н.З. Методы минимизации недифференцируемых функций и их приложения / Н.З. Шор. – Киев: Наукова думка, 1979. – 199 с.
- Методы сплайн-функций. Российская конференция, посвященная 80-летию со дня рождения Ю.С. Завьялова (Новосибирск, 31 января – 2 февраля 2011 г.): Тез. докладов. – Новосибирск: ИМ СО РАН, 2011. – 113 с.
- Соколинская, И.М. Синтез симплекс-метода и метода линейной коррекции в задачах линейной оптимизации с неформализованными ограничениями // Вычислительные методы и программирование. 2005. Т. 6. № 1. С. 226-238.
- Свалов, Д.В. Сравнительный анализ эффективности симплекс-метода и метода минимальных путей на примере решения многопродуктовой транспортной задачи / Д.В. Свалов, С.И. Файнштейн //Актуальные проблемы современной науки, техники и образования. 2011. Т. 2. № 69. С. 79-81.
- Карташов, Б.А. Среда динамического моделирования технических систем SIMINTECH / Б.А. Карташов, Е.А. Шабаев, О.С. Козлов, А.М. Щекатуров // Практикум по моделированию систем автоматического регулирования. – М.: ДМК-Пресс, 2017. – 426 с.
- Хабаров, С.П. Основы моделирования технических систем. Среда SIMINTECH. Учебное пособие для СПО / С.П. Хабаров, М.Л. Шилкина. – СПб.: Лань, 2019. – 120 с.
Қосымша файлдар














